个人所得税计算案例集锦第一期
个人所得税计算案例集锦第一期
个税计算案例集锦(第一期)
来源:严颖
李先生在甲企业任职,2019年1月-12月每月在甲企业取得工资薪金收入16000元,无免税收入;每月缴纳三险一金2500元,从1月份开始享受子女教育和赡养老人专项附加扣除共计为3000元,无其他扣除。另外,2019年3月从乙公司取得劳务报酬收入3000元,稿酬收入2000元,6月从丙公司取得劳务报酬收入30000元,特许权使用费收入2000元。
一、预扣预缴
(一)工资薪金所得预扣预缴计算
扣缴义务人向居民个人支付工资、薪金所得时,按照累计预扣法计算预扣税款,并按月办理扣缴申报。累计预扣法,是指扣缴义务人在一个纳税年度内预扣预缴税款时,以纳税人在本单位截至本月取得工资、薪金所得累计收入减除累计免税收入、累计减除费用、累计专项扣除、累计专项附加扣除和累计依法确定的其他扣除后的余额为累计预扣预缴应纳税所得额,适用个人所得税预扣率表一,计算累计应预扣预缴税额,再减除累计减免税额和累计已预扣预缴税额,其余额为本期应预扣预缴税额。余额为负值时,暂不退税。纳税年度终了后余额仍为负值时,由纳税人通过办理综合所得年度汇算清缴,税款多退少补。具体计算公式如下:
本期应预扣预缴税额=(累计预扣预缴应纳税所得额×预扣率-速算扣除数)-累计减免税额-累计已预扣预缴税额
累计预扣预缴应纳税所得额=累计收入-累计免税收入-累计减除费用-累计专项扣除-累计专项附加扣除-累计依法确定的其他扣除
其中:累计减除费用,按照5000元/月乘以纳税人当年截至本月在本单位的任职受雇月份数计算。

1、2019年1月:
1月累计预扣预缴应纳税所得额=累计收入-累计免税收入-累计减除费用-累计专项扣除-累计专项附加扣除-累计依法确定的其他扣除=16000-5000-2500-3000=5500元,对应税率为3%。
1月应预扣预缴税额=(累计预扣预缴应纳税所得额×预扣率-速算扣除数)-累计减免税额-累计已预扣预缴税额=5500×3%=165元
2019年1月,甲企业在发放工资环节预扣预缴个人所得税165元。
2、2019年2月:
2月累计预扣预缴应纳税所得额=累计收入-累计免税收入-累计减除费用-累计专项扣除-累计专项附加扣除-累计依法确定的其他扣除=16000×2-5000×2-2500×2-3000×2=11000元,对应税率为3%。
2月应预扣预缴税额=(累计预扣预缴应纳税所得额×预扣率-速算扣除数)-累计减免税额-累计已预扣预缴税额=11000×3%-165=165元
2019年2月,甲企业在发放工资环节预扣预缴个人所得税165元。
3、2019年3月:
3月累计预扣预缴应纳税所得额=累计收入-累计免税收入-累计减除费用-累计专项扣除-累计专项附加扣除-累计依法确定的其他扣除=16000×3-5000×3-2500×3-3000×3=16500元,对应税率为3%。
3月应预扣预缴税额=(累计预扣预缴应纳税所得额×预扣率-速算扣除数)-累计减免税额-累计已预扣预缴税额=16500×3%-165-165=165元
2019年3月,甲企业在发放工资环节预扣预缴个人所得税165元。
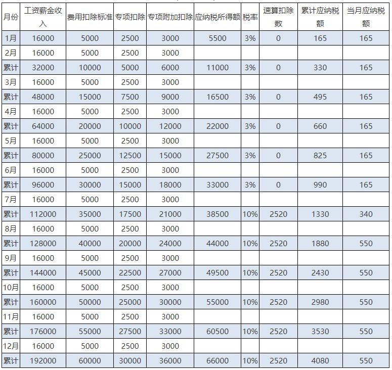
按照上述方法以此类推,计算得出李先生各月个人所得税预扣预缴情况明细表。
2019年1—12月工资薪金个人所得税预扣预缴计算表(单位:元)

(二)其他综合所得(劳务报酬、稿酬、特许权使用费所得)预扣预缴个人所得税计算
扣缴义务人向居民个人支付劳务报酬所得、稿酬所得和特许权使用费所得的,按以下方法按次或者按月预扣预缴个人所得税:
劳务报酬所得、稿酬所得、特许权使用费所得以每次收入减除费用后的余额为收入额;其中,稿酬所得的收入额减按百分之七十计算。
预扣预缴税款时,劳务报酬所得、稿酬所得、特许权使用费所得每次收入不超过四千元的,减除费用按八百元计算;每次收入四千元以上的,减除费用按收入的百分之二十计算。
劳务报酬所得、稿酬所得、特许权使用费所得,以每次收入额为预扣预缴应纳税所得额,计算应预扣预缴税额。劳务报酬所得适用个人所得税预扣率表二,稿酬所得、特许权使用费所得适用百分之二十的比例预扣率。
居民个人办理年度综合所得汇算清缴时,应当依法计算劳务报酬所得、稿酬所得、特许权使用费所得的收入额,并入年度综合所得计算应纳税款,税款多退少补。
1、2019年3月,取得劳务报酬收入3000元,稿酬收入2000元
劳务报酬所得预扣预缴应纳税所得额=每次收入-800元=3000-800元=2200元
劳务报酬所得预扣预缴税额=预扣预缴应纳税所得额×预扣率-速算扣除数=2200×20%-0=440元
稿酬所得预扣预缴应纳税所得额=(每次收入-800元)×70%=(2000-800元)×70%=840元
稿酬所得预扣预缴税额=预扣预缴应纳税所得额×预扣率=840×20%=168元
李先生3月劳务报酬所得预扣预缴个人所得税440元;稿酬所得预扣预缴税额个人所得税168元。
2、2019年6月,取得劳务报酬30000元,特许权使用费所得2000元
劳务报酬所得预扣预缴应纳税所得额=每次收入×(1-20%)=30000×(1-20%)=24000元
劳务报酬所得预扣预缴税额=预扣预缴应纳税所得额×预扣率-速算扣除数=24000×30%-2000=5200元
特许权使用费所得预扣预缴应纳税所得额=(每次收入-800元)=(2000-800元)=1200元
特许权使用费所得预扣预缴税额=预扣预缴应纳税所得额×预扣率=1200×20%=240元
李先生6月劳务报酬所得预扣预缴个人所得税5200元;特许权使用费所得预扣预缴税额个人所得税240元。
(三)扣缴申报

1、“收入额计算”:包含“收入”“费用”“免税收入”。收入额=第8列-第9列-第10列。
①第8列“收入”:填写当月(次)扣缴义务人支付给纳税人所得的总额。
②第9列“费用”:取得劳务报酬所得、稿酬所得、特许权使用费所得时填写,取得其他各项所得时无须填写本列。居民个人取得上述所得,每次收入不超过4000元的,费用填写“800”元;每次收入4000元以上的,费用按收入的20%填写。非居民个人取得劳务报酬所得、稿酬所得、特许权使用费所得,费用按收入的20%填写。
③第10列“免税收入”:填写纳税人各所得项目收入总额中,包含的税法规定的免税收入金额。其中,税法规定“稿酬所得的收入额减按70%计算”,对稿酬所得的收入额减计的30%部分,填入本列。
(2)第11列“减除费用”:按税法规定的减除费用标准填写。如,2019年纳税人取得工资、薪金所得按月申报时,填写5000元。纳税人取得财产租赁所得,每次收入不超过4000元的,填写800元;每次收入4000元以上的,按收入的20%填写。
(3)第12~15列“专项扣除”:分别填写按规定允许扣除的基本养老保险费、基本医疗保险费、失业保险费、住房公积金(以下简称“三险一金”)的金额。
(4)第16~21列“其他扣除”:分别填写按规定允许扣除的项目金额。


二、汇算清缴
(一)取得综合所得需要办理汇算清缴的情形包括:
1、从两处以上取得综合所得,且综合所得年收入额减除专项扣除的余额超过6万元;
2、取得劳务报酬所得、稿酬所得、特许权使用费所得中一项或者多项所得,且综合所得年收入额减除专项扣除的余额超过6万元;
3、纳税年度内预缴税额低于应纳税额;
4、纳税人申请退税;
5、纳税人在注销户籍年度取得综合所得的;
6、居民个人取得综合所得的,扣缴义务人未扣缴税款的。
(二)汇缴事项办理
需要办理汇算清缴的纳税人,应当在取得所得的次年3月1日至6月30日内,向任职、受雇单位所在地主管税务机关办理纳税申报,并报送《个人所得税年度自行纳税申报表》。纳税人有两处以上任职、受雇单位的,选择向其中一处任职、受雇单位所在地主管税务机关办理纳税申报;纳税人没有任职、受雇单位的,向户籍所在地或经常居住地主管税务机关办理纳税申报。
纳税人办理综合所得汇算清缴,应当准备与收入、专项扣除、专项附加扣除、依法确定的其他扣除、捐赠、享受税收优惠等相关的资料,并按规定留存备查或报送。
(三)汇缴计算
1、居民个人取得工资、薪金所得;劳务报酬所得;稿酬所得;特许权使用费所得称综合所得。综合所得按纳税年度合并计算个人所得税。
2、居民个人的综合所得,以每一纳税年度的收入额减除六万元以及专项扣除、专项附加扣除和依法确定的其他扣除后的余额,为应纳税所得额。劳务报酬所得、稿酬所得、特许权使用费所得以收入减除百分之二十的费用后的余额为收入额。稿酬所得的收入额减按百分之七十计算。
3、专项扣除、专项附加扣除和依法确定的其他扣除,以居民个人一个纳税年度的应纳税所得额为限额;一个纳税年度扣除不完的,不结转以后年度扣除。

年收入额=工资、薪金所得收入+劳务报酬所得收入+稿酬所得收入+特许权使用费所得收入=16000×12+(3000+30000)×(1-20%)+2000×(1-20%)×70%+2000×(1-20%)=221120元
综合所得应纳税所得额=年收入额-6万元-专项扣除-专项附加扣除-依法确定的其他扣除=221120-60000-(2500×12)-(3000×12)=95120元
应纳税额=应纳税所得额×税率-速算扣除数=95120×10%-2520=6992元
预扣预缴税额=工资、薪金所得预扣预缴税额+劳务报酬所得预扣预缴税额+稿酬所得预扣预缴税额+特许权使用费所得预扣预缴税额=4080+(440+5200)+168+240=10128元
年度汇算应补退税额=应纳税额-预扣预缴税额=-3136元,
汇算清缴应退税额3136元。
(四)年度自行纳税申报表填写
1、第2行“工资、薪金所得”:填写本年度应当并入综合所得计税的工资、薪金收入总额=16000×12=192000元;
2、第3行”劳务报酬所得“=3000+30000=33000元;
3、第4行”稿酬所得“=2000元;
4、第5行”特许权使用费所得“=2000元;
5、第6行“费用合计”:纳税人取得劳务报酬所得、稿酬所得、特许权使用费所得时,填写减除20%费用的合计金额=(33000+2000+2000)×20%=7400元;
6、第7行“免税收入合计”:填写本年度符合税法规定的免税收入合计金额。其中,税法规定“稿酬所得的收入额减按70%计算”,对减计的30%部分,填入本行=1600×30%=480元;
7、第8行“减除费用”:按税法规定的减除费用标准填写=60000元;
8、第9行“专项扣除合计”:填写按规定本年度可在税前扣除的基本养老保险费、基本医疗保险费、失业保险费、住房公积金的合计金额=2500×12=30000元;
9、第14行“专项附加扣除合计”:填写按规定本年度可在税前扣除的子女教育、继续教育、大病医疗、住房贷款利息或住房租金、赡养老人等专项附加扣除费用的合计金额=3000×12=36000元;
10、第21行“其他扣除合计”:填写按规定本年度可在税前扣除的年金、商业健康保险、税延养老保险、允许扣除的税费等其他扣除项目的合计金额。

文件依据:
《中华人民共和国个人所得税法》《中华人民共和国个人所得税法实施条例》总局公告2018年第61号(个人所得税扣缴申报管理办法试行)总局公告2018年第62号(个人所得税自行纳税申报)总局公告2019年第7号(修订个人所得税申报表)
本文由小颖言税 严颖 根据江苏省税务局12366案例改编,转载请注明来源。